DA Rates: 1986-2021 Explained

C.Codelathe 102 views
DA Rates: 1986-2021 Explained

DA Rates: 1986-2021 Explained

Hey everyone! Let’s dive into something super important for a lot of folks: Dearness Allowance (DA) rates from 1986 to 2021 . If you’re a government employee or a pensioner, you know how crucial DA is. It’s basically a way for the government to help you cope with the rising cost of living, keeping your salary or pension in line with inflation. We’re going to break down what it is, why it changes, and give you a rundown of those rates over the years. Stick around, because understanding your pay slip and pension is empowering!

What Exactly is Dearness Allowance (DA)?

So, what’s the deal with Dearness Allowance (DA) ? Think of it as a financial adjustment designed to offset the impact of inflation on the fixed income of government employees and pensioners. Basically, as prices for everyday stuff like food, fuel, and housing go up, your purchasing power goes down, right? DA is the government’s way of saying, “We see that prices are rising, so here’s a bit extra to help you keep up.” It’s calculated as a percentage of an employee’s basic pay or a pensioner’s basic pension. The core idea is to ensure that the real value of your income doesn’t erode over time due to inflation. It’s not a bonus or a raise in the traditional sense; it’s a mechanism to maintain your financial well-being. The government reviews and adjusts DA periodically, usually twice a year, based on specific economic indicators. This ensures that the allowance remains relevant and effective in protecting your purchasing power. It’s a vital component of government compensation, reflecting a commitment to supporting its workforce and retirees through economic fluctuations. This system helps maintain morale and ensures that employees and pensioners can maintain their standard of living despite economic pressures. The calculation is typically based on the Consumer Price Index (CPI), which tracks the average change over time in the prices paid by urban consumers for a market basket of consumer goods and services. Understanding DA is key to understanding your overall remuneration package.

Why Does DA Change Over Time?

The primary driver behind changes in Dearness Allowance (DA) rates is, you guessed it, inflation . The government uses specific indices, most commonly the All India Consumer Price Index for Industrial Workers (AICPI-IW) , to track how much prices have increased. When this index shows a significant rise, it signals that the cost of living has gone up, and consequently, the DA rate needs to be revised upwards. Conversely, if inflation moderates, the DA might increase at a slower pace or, in very rare scenarios, remain unchanged. These revisions are typically done semi-annually, effective from January 1st and July 1st each year. The formulas and base years used for these calculations are periodically reviewed and updated by the government to ensure they accurately reflect current economic conditions. For instance, the base year for the CPI-IW has been revised over time to keep the index relevant. This dynamic adjustment mechanism is what makes DA so crucial; it’s not a static figure but a responsive one, aiming to provide a consistent level of purchasing power for recipients. It’s a complex interplay of economic data and government policy, designed to provide a necessary buffer against the ever-present challenge of rising costs. The transparency in how these rates are announced, usually through official government notifications, allows employees and pensioners to anticipate and understand their financial adjustments. It’s all about keeping your income relevant in a fluctuating economic landscape, guys. The goal is simple: to ensure that your hard-earned money continues to buy roughly the same amount of goods and services, year after year, despite the general trend of rising prices. This constant adjustment is what distinguishes DA from a fixed salary increment; it’s an adaptive measure for economic stability.

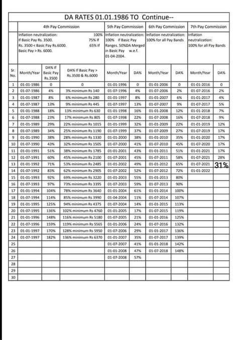
DA Rates: A Look Back from 1986 to 2021

Now for the juicy part: the DA rates from 1986 to 2021 . Tracking these rates gives us a fascinating glimpse into India’s economic journey and the government’s approach to managing inflation’s impact on its employees and pensioners. It’s important to remember that these rates were applied based on specific government orders and revised periodically, usually twice a year. The exact percentages fluctuated significantly, reflecting the varying inflationary pressures across these decades. For instance, periods of high inflation would naturally see larger jumps in DA rates, while periods of economic stability might result in more modest increases. The 7th Central Pay Commission (CPC) significantly influenced DA rates for central government employees from its implementation, and the rates we see in the later part of this period are largely based on its recommendations. Before that, different pay commissions set the benchmarks. It’s a historical record of economic policy in action, showing how the government has attempted to maintain the real income of its workforce. We’ll be looking at aggregated trends and key periods rather than an exhaustive list of every single percentage point increase, which would be incredibly lengthy and less insightful for a general overview. Think of it as understanding the general health of the economy as reflected in the compensation adjustments made for public servants. The data reflects periods of economic growth, slowdowns, and policy shifts. It’s a real-time indicator of purchasing power maintenance. The journey from 1986 to 2021 covers several economic cycles, including liberalization, periods of high inflation, and subsequent efforts to control it. Each revision was a response to the economic climate of that time, aiming to preserve the value of wages and pensions against the relentless march of price increases. This historical perspective is invaluable for understanding the long-term trends in government compensation and the economic policies that shaped them. The consistency in the mechanism, despite the varying rates, highlights the enduring importance of protecting employees and pensioners from inflation’s bite. Let’s get into some of the trends and figures that shaped this period. It’s a real look at how economic conditions translate into tangible financial adjustments for a significant portion of the population, guys.

The Early Years: 1980s and 1990s

In the 1980s and 1990s , Dearness Allowance (DA) rates were often higher in percentage terms compared to later periods, reflecting the generally higher inflation rates prevalent during those times. The economy was undergoing significant changes, moving towards liberalization, and managing inflation was a key concern. The 4th and 5th Central Pay Commissions’ recommendations would have guided the DA rates during these decades. For instance, you might have seen DA rates climbing significantly year after year as the government tried to keep pace with rising prices. This was a period where DA played a very substantial role in the overall take-home salary of employees. The mechanism was crucial for maintaining the purchasing power of a large workforce. We often saw double-digit increases in DA rates during this era. The impact of global economic events and domestic policy changes could be seen directly in these adjustments. It was a critical period for establishing and refining the DA system as a primary tool for inflation adjustment. Understanding these historical rates helps appreciate the evolution of economic management in India and its direct impact on the lives of millions. These were foundational years for the modern DA system, solidifying its role as a vital compensation component. The specific figures varied wildly, but the trend was clear: DA was essential to bridge the gap between wages and the cost of living. The government’s commitment to protecting its employees and pensioners was evident in the regular revisions, even when economic conditions were challenging. It was a period of significant economic transition, and DA rates were a key indicator of the government’s response to inflation. The fluctuations in DA reflected the broader economic narrative of the time, from controlled economies to the emerging market dynamics. It underscored the importance of a robust system to ensure financial stability for public sector employees and retirees during these transformative decades. The reliance on DA was higher as other forms of compensation adjustments might have been less frequent or substantial.

The Turn of the Millennium: 2000s

As we entered the 2000s , Dearness Allowance (DA) rates continued to be revised semi-annually, but the overall inflation scenario started showing some moderation compared to the previous decades, though not without its own spikes. The 6th Central Pay Commission’s report significantly influenced the salary structure and DA calculations during this period. The DA rates, while still substantial, might have seen more controlled growth in some years. This decade was characterized by India’s growing economy, increased globalization, and the impact of various economic reforms. The government continued its commitment to adjusting DA based on inflation, ensuring that employees and pensioners could maintain their living standards. The base indices and calculation methods were refined to better reflect economic realities. Even with economic growth, inflation remained a persistent factor, necessitating regular DA revisions. You’d still see increases, but perhaps the year-on-year jumps weren’t always as dramatic as in the ‘80s or ‘90s. The focus was on consistent, predictable adjustments. It was a period where the DA system proved its resilience and adaptability. The government’s focus shifted towards ensuring sustainable economic growth while managing inflationary pressures. DA played its part in this balancing act, providing a safety net for incomes. The trends in the 2000s showcased a maturing economy and a more nuanced approach to inflation management. The DA rates were a reflection of these evolving economic dynamics, aiming for a balance between worker welfare and economic stability. It was a time when the DA mechanism continued to be a cornerstone of government employee compensation, adapting to the changing economic landscape and ensuring that the real value of their earnings was protected. The global financial climate also played a role, influencing domestic economic policies and, consequently, DA rates. It was a decade of progress and adaptation for the DA system.

The Era of the 7th Pay Commission: 2010s to 2021

The 2010s leading up to 2021 were significantly shaped by the 7th Central Pay Commission (CPC) , which came into effect from January 1, 2016. This period saw a major overhaul in how salaries, pensions, and consequently, DA were calculated for central government employees. The DA rates during this time were based on a revised formula and significantly increased over the years, especially after the implementation of the 7th CPC. For instance, after the 7th CPC, the DA rates started accumulating and were often announced in double digits, effectively doubling the DA component over a few years. By 2021, the DA had reached substantial levels, reflecting the cumulative inflation since the commission’s base period. The government’s commitment to neutralising the effect of price rise was very evident. These increases were crucial for employees and pensioners to cope with the rising cost of living during this period. The digital age also meant that DA announcements and calculations became more accessible and transparent to the public. This era demonstrated a strong focus on ensuring that the real income of government employees and pensioners kept pace with economic realities. The DA rates were not just a number; they represented the government’s ongoing effort to support its workforce through economic fluctuations. The period leading up to 2021 saw DA rates climbing steadily, providing significant financial relief. This reflects a proactive approach to economic welfare, ensuring that the compensation provided remains adequate in the face of persistent inflation. The impact of the 7th CPC was profound, setting new benchmarks for government pay and allowances, including DA. The increases were substantial and reflected the accumulation of inflation over the period preceding its implementation and the subsequent years. It was a time when the DA mechanism truly proved its worth in safeguarding purchasing power. The clarity and frequency of announcements also improved, making it easier for recipients to track their entitlements. This period solidified the DA’s role as a critical element in government compensation, ensuring financial stability for a vast number of people. It showcased the evolution of pay structures and the unwavering commitment to inflation adjustment.

How is DA Calculated?

Alright, let’s get a bit technical, but don’t worry, we’ll keep it simple, guys! The calculation of Dearness Allowance (DA) is primarily based on inflation data. The most common basis is the All India Consumer Price Index for Industrial Workers (AICPI-IW) , published by the Labour Bureau, an affiliate of the Ministry of Labour and Employment. This index measures the change in prices of a basket of goods and services typically consumed by industrial workers. The government typically uses the average of the AICPI-IW for the last 12 months (or a specific period, depending on the pay commission’s recommendations) to determine the percentage increase. The formula generally looks something like this: DA% = [(Average of AICPI-IW for the last 12 months - Base Index) x 100] / Base Index . The ‘Base Index’ is a fixed value corresponding to the pay scale recommended by the respective Pay Commission. For example, under the 7th CPC, the base index is 126.33 (for the period Jan 2016-June 2021). DA is usually declared twice a year, effective from January 1 and July 1. The rate is announced as a percentage of the employee’s basic pay or the pensioner’s basic pension. So, if your basic pay is ₹30,000 and the DA rate is 10%, your DA amount would be ₹3,000. It’s a straightforward percentage calculation once the rate is announced. The government releases official notifications detailing the new DA rates, making it transparent for everyone. Understanding this calculation helps demystify a significant part of your remuneration. It’s a direct link between economic indicators and your financial well-being. The complexity lies in the data collection and averaging of the CPI, but the application is simple arithmetic. The goal is to ensure that this allowance accurately reflects the prevailing inflation, thus protecting the real value of income. The system is designed for fairness and consistency, ensuring that all employees and pensioners under the same pay commission get the same DA percentage. This standardization is key to the system’s integrity. Remember, the specific formula and base year can be updated with new pay commission recommendations, so it’s always good to refer to the latest government circulars for the most accurate information.

The Impact of DA on Employees and Pensioners

So, what’s the real-world effect of these Dearness Allowance (DA) rates ? For employees and pensioners , DA is a significant financial lifeline. It directly boosts their monthly income, helping them manage the ever-increasing cost of living. Without DA, the purchasing power of a fixed salary or pension would significantly diminish over time, making it difficult to afford basic necessities. For pensioners, especially those whose pensions are not regularly revised with full neutralization, DA is critical for maintaining a decent standard of living. It ensures that their retirement income doesn’t become practically worthless due to inflation. For employees, it means their salary keeps pace with the economy, preventing a decline in their real wages. This stability contributes to job satisfaction and financial security. It also plays a role in the broader economy. When people have more disposable income due to DA, they tend to spend more, which can stimulate economic activity. However, it’s a balancing act. While DA protects purchasing power, very high DA rates can sometimes be seen as inflationary themselves if not managed carefully. But for the individual recipient, the impact is overwhelmingly positive. It provides a sense of security and fairness, knowing that their compensation is adjusted to reflect economic realities. It’s a key component in ensuring that government jobs remain attractive and that retirees can live with dignity. Think about it: a consistent increase in DA means you can plan your expenses better, save more effectively, and maintain your lifestyle even when prices are going up. This predictability is invaluable. The psychological impact is also considerable; it reassures people that their contribution is recognized and that their financial well-being is a priority for the government. It’s a cornerstone of fair compensation, guys, ensuring that hard work translates into a stable and appreciating income throughout one’s service and retirement. The system is designed to provide a cushion against economic shocks, making it a vital part of the social security net for government personnel and their families.

Looking Ahead: Future of DA

What does the future of Dearness Allowance (DA) look like? While the core purpose of DA—to combat inflation—is unlikely to change, the way it’s calculated and implemented might evolve. With technological advancements and changing economic models, we might see adjustments in the indices used or the frequency of revisions. The government periodically reviews pay scales and allowances, and future Pay Commissions could bring new methodologies. For instance, there’s ongoing discussion about revising the base year for CPI calculations or even exploring alternative inflation-measuring tools to ensure DA remains an accurate reflection of the cost of living. Regardless of the specific changes, the fundamental principle of protecting the purchasing power of government employees and pensioners will remain a priority. As India’s economy grows and diversifies, the mechanisms for adjusting compensation will need to adapt. We might see more emphasis on real-time data or dynamic adjustments rather than fixed semi-annual revisions, although the latter is a well-established practice. The key will be to maintain a system that is responsive, transparent, and fair. The government’s commitment to its workforce and retirees suggests that DA, in some form, will continue to be a crucial element of compensation. It’s all about adapting to the future while staying true to the core mission of providing financial security. The evolution of DA will mirror the evolution of India’s economy and its workforce needs. It’s an ongoing process of refinement to ensure maximum effectiveness and relevance in a changing world.

Conclusion

So there you have it, a journey through the DA rates from 1986 to 2021 . We’ve seen how Dearness Allowance is a critical tool for combating inflation and maintaining the purchasing power of government employees and pensioners. From the higher rates of the ‘80s and ‘90s reflecting greater economic volatility, through the more modulated adjustments of the 2000s, to the significant increases spurred by the 7th Pay Commission in the 2010s, DA has consistently evolved. Understanding these trends isn’t just about historical data; it’s about appreciating the economic policies that shape our lives and the government’s commitment to its workforce. The calculation, based on indices like AICPI-IW, ensures that DA remains a relevant and fair adjustment. For both current employees and pensioners, DA is more than just an allowance; it’s a vital component of financial security and stability. As we look ahead, the mechanism may adapt, but its core purpose will endure. Stay informed, stay updated, and remember the power of understanding your entitlements! It’s been a ride through economic history, all viewed through the lens of DA rates. Keep learning, guys!